赛华检测欢迎您!
免费咨询热线

免费咨询热线:0755-21062483

经典案例

SERVICES CASE

赛华检测

当前位置

首页>>经典案例
材料硬度测试汇总

时间:2025-05-28

点击:1456

硬度作为衡量材料抵抗局部变形能力的关键指标,对于材料选择、产品质量把控以及工艺优化意义非凡。不同的硬度测试方法各有所长,适配各类材料与多样应用场景,以下将对常见的硬度测试方法展开详细剖析。



布氏硬度

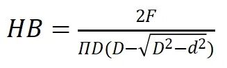
1、测试原理

以规定直径(D)的硬质合金球或淬火钢球为压头,在特定试验力(F)作用下,垂直压入被测材料表面,保持规定时长(t)后卸除试验力,测量材料表面残留压痕的直径(d),基于布氏硬度计算公式:

图片

算出硬度值,单位通常为N/mm²,习惯记为 HBS(钢球压头)或 HBW(硬质合金球压头)。


2、适用材料与场景

广泛用于铸铁、非铁金属(如铜合金、铝合金)及退火、正火、调质态钢材等相对软质或中等硬度材料。像机械制造里铸铝件质量检测,借布氏硬度评判内部组织结构均匀性、铸造缺陷影响;建筑领域对结构用钢材抽检,把控材质达标、加工工艺稳定性。

优点:压痕大、能反映材料综合性能,测试数据稳定、重复性优,可检测组织偏析、夹杂物等对硬度干扰;

缺点:不适于成品高精度表面、薄小件,因压痕会留明显痕迹、可能贯穿试件。


3、常用标准

ISO 6506《金属材料 布氏硬度试验》

GB/T 231.1《金属材料 布氏硬度试验 第 1 部分:试验方法》



洛氏硬度

1、测试原理

依材料软硬,搭配不同压头(圆锥角 120° 金刚石圆锥体用于硬材料,直径 1.588mm 硬质合金用于软材料)与多级试验力,先加初试验力使压头接触材料、消除表面不平影响,再施主试验力,之后卸除主试验力保留初试验力,按残余压痕深度(h)换算硬度值,表盘或数显屏直读硬度,如洛氏硬度 HRC(用金刚石圆锥压头、测淬火回火钢材等硬材)、HRB( 硬质合金压头测软金属)。


2、适用材料与场景

对钢铁热处理后质量评定(淬火态高硬度耐磨件、回火态综合性能调零件)、有色金属加工(铜材冷加工硬化监控)极为得力,工业生产批量零部件(汽车发动机轴、齿轮)硬度快速抽检常用。

优点:操作简便、测试迅速,压痕小不损成品外观精度,可测薄厚不均、形状复杂件;

缺点:压痕浅,易受表面粗糙、材料微观不均影响,数据精度逊于布氏硬度。


3、常用标准

ISO 6508《金属材料 洛氏硬度试验》

GB/T 230.1《金属材料 洛氏硬度试验 第 1 部分:试验方法》



维氏硬度

1、测试原理

采用相对面夹角 136° 正四棱锥形金刚石压头,在选定试验力(小至数克、大至上百千克)下压入材料,经显微镜精确测量压痕对角线长度(d1、d2,取均值),依公式

图片

(d 为平均对角线长度)算出硬度,硬度值标注HV。


2、适用材料与场景

金属(超高强度钢、精密合金)、陶瓷(结构陶瓷、电子陶瓷)、硬质合金、表面镀层(镀锌、镀铬层)等全域覆盖,科研新材料开发(探究纳米晶金属硬度)、微机电系统(MEMS)器件微小区域(几微米到几十微米)硬度表征、刀具涂层耐磨评估。

优点:精度高,试验力多元,可选适配不同薄厚、软硬材料;

缺点:操作繁琐,需借助显微镜,效率偏低。


3、常用标准

ISO 6507《金属材料 维氏硬度试验》

GB/T 4340.1《金属材料 维氏硬度试验 第 1 部分:试验方法》



努氏硬度

1、测试原理

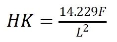
利用菱形金刚石压头(长对角线与短对角线夹角为 172°30′,短对角线与压头轴线夹角为 130°),在特定试验力作用下压入材料表面,保持规定时间后卸除力,测量压痕长对角线长度(L),通过努氏硬度计算公式

图片

(F 为试验力)得出硬度值,单位与其他硬度测试常用单位一致,为N/mm²,标注为 HK。该压头形状使得在相同试验力下,努氏压痕比维氏压痕更深更细长,能更精准反映材料局部性能差异,尤其对表面硬化层、薄涂层等硬度梯度明显区域测试优势突出。


2、适用材料与场景

常用于金属表面处理领域,如电镀层、氮化层、渗碳层等硬化层深度及硬度分布检测,在刀具刃口强化涂层、精密机械零件表面改性层质量把控方面不可或缺;也广泛应用于陶瓷、硬质合金等脆性材料硬度测定,助力优化其烧结工艺、提升耐磨性能。例如在刀具制造中,评估涂层刀具切削刃处涂层硬度均匀性,保障刀具切削性能与使用寿命。


3、常用标准

ISO 4545《金属材料 努氏硬度试验》

GB/T 18449.1《金属材料 努氏硬度试验 第 1 部分:试验方法》



邵氏硬度

1、测试原理

分邵氏 A(用于软橡胶、弹性体)与邵氏 D(针对硬橡胶、高硬度塑料)两种类型。邵氏 A 采用钝粗压针,试验力相对小,邵氏 D 压针更尖细,试验力较大。测试时,将规定形状、尺寸压针在特定压力下垂直压入材料,按压入深度换算硬度,表盘直接指示硬度读数。原理基于压针在材料中陷入程度与材料软硬关联,陷入越深硬度值越低,反之越高。


2、适用材料与场景

是橡胶工业制品(轮胎、密封圈、输送带)质量管控关键手段,保障产品柔韧、耐磨、防滑等性能符合设计要求;也用于塑料制品(塑料地板、工具手柄、塑料管材)硬度分级,适配不同使用场景需求。比如轮胎生产中,邵氏 A 硬度测试贯穿各工序,从橡胶混炼胶料质量把控,到成品轮胎胎面、胎侧硬度监测,确保轮胎抓地力、舒适性与耐久性平衡。


3、常用标准

ASTM D2240《用硬度计测定橡胶特性 — 硬度》

GB/T 2411 - 2008《塑料 邵氏硬度试验方法》

GB/T 531.1《硫化橡胶或热塑性橡胶 压入硬度试验方法 第 1 部分:邵氏硬度计法》



纳米硬度

1、测试原理

借助纳米压痕仪,以极小尺寸(纳米级)的金刚石压头,在极微小的加载力(常为微牛至毫牛量级)作用下,缓慢压入待测材料表面,精确记录加载过程中力与压入深度关系曲线(即力 - 深度曲线,常称 P - h 曲线),通过特定分析模型(如 Oliver - Pharr 模型),依据曲线卸载段斜率、最大压入深度等参数,计算得出材料纳米尺度下的硬度值与弹性模量等力学参量,深度剖析材料微观力学性能。


2、适用材料与场景

在纳米材料(纳米颗粒、纳米薄膜)、超薄膜层(半导体薄膜、生物涂层)、微纳机电系统(NEMS/MEMS)器件材料研究中大放异彩,比如评估半导体芯片超薄绝缘层力学可靠性、探究新型二维材料(石墨烯、过渡金属二硫化物)本征力学特性,助力前沿科技从微观层面优化设计、突破性能瓶颈。


3、常用标准

ISO 14577《金属材料 硬度和材料参数的仪器化压痕试验》

GB/T 22458 - 2008《仪器化纳米压痕试验方法通则》



图片



不同硬度测试方法从原理、设备到适用范畴各有侧重,在材料研发、加工制造、产品质检全流程,唯有依据材料特性、测试目的、工况限制精准抉择、规范操作,协同多种方法互校互补,方能深挖硬度信息,筑牢材料与产品性能根基,驱动工业品质升级。



图片

赛华检测成立于2019年6月,目前在深圳具备显微分析、器件分析、化学、热分析、电性能、无损、机械性能、可靠性等检测能力,主要开展材料检测、失效分析、技术咨询服务,除此之外还涉及ISO、ETL、CE、CCC、CQC、UL认证等服务,为客户在产品研发、生产、销售等各环节提供全方面检测与认证服务。



关注我们

图片

SAIWALAB

赛华检测

热线电话|0755-21062483

官方网站 | www.saiwalab.com

邮箱地址|sales@saiwalab.com

文章标签文章标签:

硬度测试
电话咨询
0755-21062483
立即咨询
立即咨询
扫码关注
扫码关注
扫码关注
返回顶部
返回顶部
诚信

诚信

以诚立身,信守承诺赢信赖

专业

专业

深耕领域,精湛技术保品质

服务

服务

贴心响应,全程无忧暖客户

创新

创新

技术致新,生态共建造无忧

责任

责任

严控细节,坚守担当保质量

在线咨询 在线咨询 报告查询 报告查询

全国咨询热线(Tel):

0755-21062483

地址:深圳市光明区玉塘街道田寮社区同仁路盛荟红星创智广场 402E

扫一扫,关注我们

扫一扫,关注我们

友情链接: 赛华检测

版权所有©深圳市赛华检测技术有限公司 粤ICP备2023072023号 XML地图